반응형
회귀 평가 지표
회귀의 평가를 위한 지표는 실제 값과 회귀 예측값의 차이를 기반으로 합니다. 이 차이는 단순히 합산하면 오류가 0에 가깝게 나타날 수 있기 때문에 오류의 절댓값 평균이나 제곱 또는 제곱한 뒤 다시 루트를 씌운 평균값을 구합니다.
회귀 평가 지표 종류
1) MAE (Mean Absolue Error)
실제 값과 예측 값의 차이를 절댓값으로 변환해 평균한 것입니다.

2) MSE (Mean Squared Error)
실제 값과 예측 값의 차이를 제곱해 평균한 것

3) RMSE (Root Mean Squared Error)
MSE 값은 오류의 제곱을 구하므로 실제 오류 평균보다 더 커지는 특성이 있어 MSE에 루트를 씌운 RMSE 값을 쓰는 것입니다.

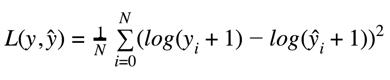
4) MSLE (Mean Squared Log Error)
MSE에 로그를 적용해준 지표입니다. log(y)가 아니라 log(y+1)입니다. y=0일 때, log(y)는 마이너스 무한대이므로 이를 보정해주기 위해 +1을 한 것입니다.

5) RMSLE (Root Mean Squared Log Error)
RMSE에 로그를 적용해준 지표입니다.

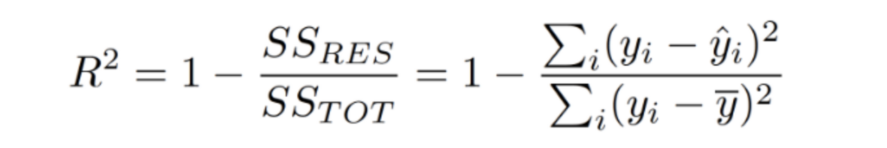
6) R² (R Sqaure)
R² 는 분산 기반으로 예측 성능을 평가합니다. 1에 가까울수록 예측 정확도가 높습니다.
R² = 예측값 Variance / 실제값 Variance

반응형
'AI_basic > ML' 카테고리의 다른 글
| 규제가 있는 선형 모델 (0) | 2022.07.28 |
|---|---|
| [ML] 지도학습/회귀 회귀 평가 지표 Part.2 (1) | 2021.09.24 |
| [ML] 비지도학습 / 군집화 / K-means (0) | 2021.07.30 |
| [ML] 데이터 전처리 - SMOTE 오버 샘플링 (0) | 2021.07.24 |
| [ML] 지도학습/분류 GBM(Gradient Boosting Machine) (0) | 2021.07.23 |