분산분석(ANOVA)
- 분산분석은 3개 이상 다수의 집단을 비교할 때 사용하는 가설검정이다. 다수 집단 비교에서 t-test를 여러 번 사용하면, 다중검정문제 발생으로 1종 오류가 증가하게 된다. 따라서, 다수 간의 평균 비교에서 ANOVA를 통해 유의한 차이를 검정한다.

- A - ANOVA 결과, 그룹 사이의 차이가 없음
- B - ANOVA 결과, 그룹 사이의 유의한 차이가 존재
분산분석의 종류
1. 일원분산분석 (One-way ANOVA)
- 독립변인 1개와 종속변인 1개일 때, 집단 간의 유의미한 차이 검정
- ex) 각 국가별 학습기술에 따른 성적비교 (독립변인-학습기술, 종속변인-성적, 집단-국가)
2. 이원분산분석(Two-way ANOVA)
- 독립변인 2개와 종속변인 1개일 때, 집단 간의 유의미한 차이 검정
- ex) 국가간 성별과 운동량에 따른 체중비교(독립변인-성별, 운동량, 종속변인-체중, 집단-국가)
3. 다원변량분산분석(MANOVA, Multiple analysis of variance)
- 독립변인 1개와 종속변인 2개일 때 집단 간의 유의미한 차이 검정
4. 공분산분석(ANCOVA, analysis of covariance)
- 특정한 독립변인을 중점에 두고, 나머지 독립변인은 공변량으로 분석하는 방법
분산분석에서 분산 구하는 법
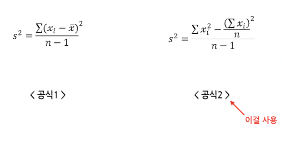
분산분석이란 "3개 이상의 모집단 평균이 서로 같은지를 비교하는 분석"이라고 했는데, 여기서 분산을 구하는 공식은 크게 2가지가 있다.

공식1은 표본이 적을 때 사용하면 편하고, 공식2는 표본이 많을 때 사용하면 편하다. 공식2가 더 복잡해 보이지만, 계산하는 방식은 오히려 편하다. 분산분석을 일반적으로 표본이 많기 때문에 공식2를 주로 사용한다. 표본이 많을 때 공식1을 적용하기 불편해서 공식2로 변형을 한 것인데, 전개 과정은 아래와 같다.

분산분석을 하려면 "변동 or SS"라고 불리는 제곱합을 알아야하는데, 분산을 n 또는 n-1로 나누기 이전을 편차 제곱합이라 부르고, 간단하게 제곱합이라고 부른다. 분산분석은 사실 분산이 아닌 이 제곱합을 계산하는 것이다. 그래서 계산할 때 공식의 분모는 필요가 없어 윗부분만 계산하면 된다.

그리고 공식의 두 번째 항을 "수정항"이라 부르는데, 제곱합을 계산할 때 가장 먼저 이 수정항을 구한다.
'Statistics' 카테고리의 다른 글
| 이원분산분석(Two-way ANOVA)(feat.Python) (1) | 2024.01.23 |
|---|---|
| 일원분산분석 (One-way ANOVA)(feat. Python) (2) | 2024.01.23 |
| 분산분석(ANOVA)의 가정(feat.Python) (2) | 2024.01.18 |
| 이표본 검정(Two-sample)(feat.Python) (1) | 2024.01.17 |
| 일표본(One-sample) 검정(feat.Python) (0) | 2024.01.16 |